
超级公式是一款专为初高中学生打造的智能学习工具,它集数学、物理、化学等学科的核心公式于一体,通过简洁的界面和高效的检索功能,帮助用户快速掌握各类知识点。无论是日常复习还是考前突击,这款免费且无广告的软件都能成为你的得力助手,立即前往绿色资源网获取这款必备学习神器吧!

权威的数理化宝典,覆盖初中、高中数理化内容,更全面更权威,可支持公式查询、知识翻阅。
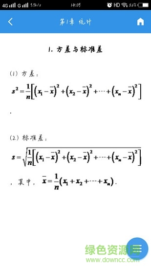
超级公式,是收录内容全面的数理化公式神器。
内容覆盖全面,完整收录了初高中必考的数理化定理;
可离线查询,无任何广告弹出,使用免费;
支持大图查阅,更清晰直观;
可按照年级快速检索你需要的公式。
支持大图查阅,更方便、更直观;产品功能:
按年级检索你所需的公式,快速复习本学期所学公式
涵盖初高中数理化必考公式定律,为你扫清做题绊脚石.
支持离线查询、永不收费、无广告、免流量;
厂商 : 江苏南水水务科技有限公司
包名 : com.sdkof.xmcbn
md5 : 60b5edb4e0291640f5e89d98654f9182
学习辅助
公式查询
网友评论
网名(您的评论需要经过审核才能显示) 回复 [ ] 楼取消回复